微成都报道 10月23日,2025四川大企业大集团发展大会在成都举行。
会上,四川省企业联合会正式发布《四川100强企业发展报告(2025)》,并揭晓2025四川企业100强、制造业100强、建筑业100强、服务业100强及数字经济100强五大榜单。
在“2025四川企业100强”榜单中,通威集团、五粮液集团、长虹控股集团、四川能源发展集团、其亚集团、新希望六和、泸州老窖、华西集团、川威集团、中国石油四川销售公司位列前十名。成都共计有64家企业上榜。

榜单显示,今年上榜川企排名出现变化,长期位列川企首位的新希望集团,今年改由旗下企业新希望六和股份有限公司申报参评,排名居第六位。
值得注意的是,营业收入超过1000亿元的企业达8家,较2024年增加3家。其中,通威集团有限公司营收超过2000亿元,首次登顶四川百强企业榜榜首。

通威国际中心,图据视觉中国
此外,四川省宜宾五粮液集团有限公司、四川长虹电子控股集团有限公司、四川能源发展集团有限责任公司、其亚集团有限公司、新希望六和股份有限公司、泸州老窖集团有限责任公司、四川华西集团有限公司的营收超过1000亿元。其中,四川能源发展集团有限责任公司、其亚集团有限公司首次跻身千亿级企业。
据了解,2025年四川企业100强由四川省企业联合会、四川省企业家协会连续第22年发布。会上,四川省企业联合会推出《四川100强企业发展报告(2025)》。发展报告收录2025年四川100强企业、制造业100强企业、建筑业100强企业、服务业100强企业、数字经济100强企业名单和中国500强企业名单数据及分析报告,主要对百强企业整体规模、效益、所有制和地区差异等方面进行分析,并提出发展建议等。
2025年四川企业100强以2024年企业营业收入为入围标准,由企业自主申报。数据显示,2025年,四川企业100强入围门槛达82.40亿元,较上年增长8.53%。制造业企业100强入围门槛为27.17亿元,较上年增长0.48亿元,四川企业100强和制造业100强入围门槛已连续六年保持增长态势;服务业企业100强入围门槛达11.16亿元,同比增长30.15%;数字经济企业100强入围门槛首次突破1亿元。
此外,2025年四川企业100强营收超百亿企业数量持续增长,由上年75家增加为77家。从实现净利润来看,净利润超100亿元的企业有3家;20亿—100亿元之间的企业有14家;10亿—20亿元之间企业有9家;0—10亿元之间的企业有63家;处于亏损状态的企业有11家。
总体来看,2025年四川企业100强中大部分企业的利润分布在0—10亿之间,其分布情况较去年变化不大。从效益指标来看,2025年四川企业100强的净利润达1445.58亿元,相较于2024年的1100.49亿元,实现了31.36%的增长。
当天会上,还同步发布了四川制造业企业100强、四川建筑业企业100强、四川服务业企业100强、四川数字经济企业100强四个榜单。其中,通威集团、长虹控股集团、四川能源发展集团、其亚集团、新希望六和位列四川制造业100强企业前五名;
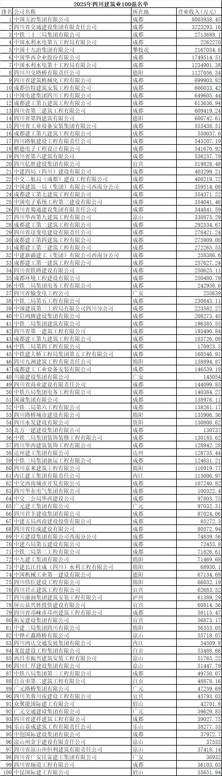
中国五冶集团、四川交建集团、中铁二十三局集团、中国水利水电第五工程局有限公司、中国十九冶集团位列四川建筑业企业100强前五名;
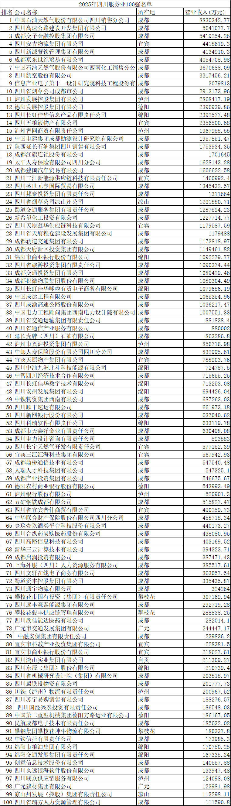
中国石油四川销售公司、四川高速公路建设开发集团、交子金控、安吉集团、新派餐饮管理集团位列四川服务业100强企业前五名;
长虹控股集团、九洲集团、安吉集团、长虹佳华、宜宾美捷位列四川数字经济企业100强前五名。



