在开关电源的计算中,往往涉及到三角波电流(DCM模式)的计算,本内容详细的介绍其平均电流Iavg、均方根RMS以及交流分量的计算。
充分地理解公式远不止于记住它的形式和计算结果。真正的要义在于融会贯通,在于从掌握走向自如运用。
图1 三角波电流
作出 Iavg 的辅助线,使得长方形的面积等于三角形的面积,周期Tswitch = t1+t2+t3。

通过式①即可推导出Iavg:

更一般的推导→通过积分的方式计算:

函数i(t) 在 (0~Tswtich) 区间内积分,由于整个 t3 时间的 i(t) = 0,故求取的就是三角形的面积。此面积除以 Tswtich 就得到 Iavg 的值。

当然,直接对式③中的函数i(t) 在 (0~t1) 区间积分(a部分),再加上其在 (t1~t1+t2) 区间积分(b部分),其结果再除以 Tswitch 就是式②。
均方根值Vrms 即 Root Mean Square 的缩写。指在一个周期内对信号平方后积分,求平均再开方。根据定义即可得到公式④:

对式④的编辑求取积分(本质就是对图2红色线与绿色线所围图形平方后再求和),推导过程如下:

图2 i(t)图形
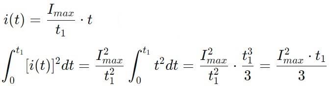
(1)上升阶段(0~t1),如图2的红色线
电流上升阶段:电感通过产生反向电动势延缓电流增长速率,表现为电流上升的滞后性。

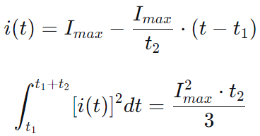
(2)下降阶段(t1~t1+t2),如图2的绿色线
电流下降阶段:电感通过维持原有电流方向的电动势减缓电流衰减,形成电流延续效应。

对于峰值为 Imax 的三角波电流,在 t1+t2 时间内的平方积分为:

所以三角形电流的均方根RMS 的计算如公式⑤:

备注:有关公式来自于 TI官方 Power Stage Designer Tool 的 Power Topologies Handbook,下载:Engineer Guide to Power Topologies。我这里补全了公式的推导,让大家知其然而知其所以然。

成事不说,遂事不谏,既往不咎。 觉得不错,动动发财的小手点个赞哦!也可以前往 公众号获取更多资料,全网同号。