10KP18CA双向tvs瞬态抑制二极管电子元器件厂家
产品名称:10KP18CA双向TVS瞬态抑制二极管
生产商:SUNMATE/森美特
产品概述:
10KP18CA双向TVS瞬态抑制二极管是一款高效能保护器件,主要用于吸收和抑制瞬态电压,保护电路免受瞬态脉冲的损害。它具有体积小、功率大、响应速度快等优点,广泛应用于各种电子设备和系统中。
产品特点:
单向性:只允许电流在一个方向流动,有效防止反向电流的冲击。
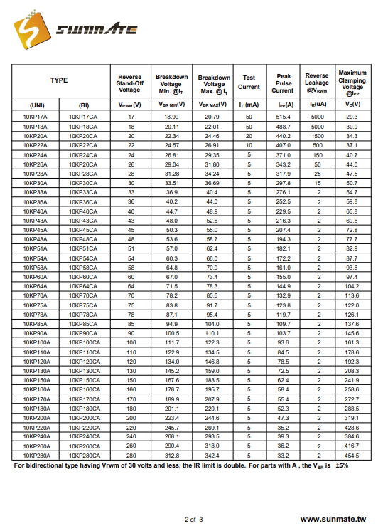
双向性:正反两个方向均具有相同的雪崩击穿特征和钳位特性。
高效率:能有效吸收和抑制瞬态电压,降低电路受损的风险。
体积小:采用贴片封装,占用空间小,方便集成到各种电路中。
功率大:能承受较大的峰值脉冲电流,保证电路的安全运行。
响应速度快:能快速响应瞬态电压的出现,及时进行抑制。
温度稳定性好:能在宽温度范围内保持稳定的性能。
可靠性高:经过严格的质量控制和可靠性测试,确保产品的可靠性和稳定性。
应用领域:
通信设备:用于保护通信电路中的敏感元件免受雷电、电磁脉冲等瞬态电压的损害。
电力电子:用于保护电源电路中的元件,避免因电源突变或雷电等原因引起的瞬态电压造成损坏。
工业控制:用于保护工业控制电路中的元件,提高系统的稳定性和可靠性。
消费电子:用于保护各类电子产品中的集成电路和敏感元件,提高产品的可靠性和稳定性。
汽车电子:用于保护汽车电子系统中的元件,提高汽车的安全性和可靠性。
包装与存储:
封装形式:R-6封装
包装数量:0.5K装
存储温度:-55℃ to +150℃
安置类型:SMT(表面安装技术)



适用于表面安装应用,具有低外形封装和低增量浪涌电阻等特点,方便用户在电路中进行集成和安装。此外,它还具有出色的夹紧能力,能够牢固地固定在电路板上,确保产品的稳定性和可靠性。