HK 105℃ 2000H寿命保证 属性参数值
商品目录 车规贴片型铝电解电容
容值:2200uF
精度:±20%
额定电压:50V
电容体直径:18mm
电容体长度:21.5mm
纹波电流:1000ma@100kHz
等效串联电阻:-@100kHz
工作寿命:2000hrs@105℃
工作温度:-55℃~+105℃


在中国新能源汽车技术路径与汽车产业规划中轻量化相关利好政策为行业提供增长基础的背景下,中国新能源汽车轻量化市场已进入大力普及与落地阶段,其市场规模在2017-2021年实现飞速增长。合粤电子快速响应汽车市场的需求,推出一款适用于汽车电子(车载多媒体)的缩小体HDS系列贴片型铝电解电容器——HDS 220UF50V 8*10.5。
HK系列特点
宽温、小体积、大纹波、表面贴装型、高可靠性 低ESR
-55℃~105℃ 2000小时保证
RoHS指令对应 符合AEC-Q200
汽车工业将不断提高集成化和智能化
在中国新能源汽车技术路径与汽车产业规划中轻量化相关利好政策为行业提供增长基础的背景下,中国新能源汽车轻量化市场已进入大力普及与落地阶段,其市场规模在2017-2021年实现飞速增长。
从现在各大汽车平牌推出混合动力车的做法,不难推断出以后的车绝对是以电力为主,甚至是只由电力驱动。然而现在的人们无论如何是离不开汽车了,因为人是会变懒的。随着社会发展,人们的生活水平都在提高,以后会是家家都买的起汽车,但是汽车尾气和能源问题总是困扰着人们,这样看来改变汽车的动力来源是必须的。交通方面,也许几十年以后你就可以看到科幻片里的场景了。
1、前言
贴片电解电容是目前除了陶瓷电容之外用得最广泛的电容品种了,因此,作为硬件工程师,必须熟练地掌握其特性。
笔者结合自身经验,通过查阅各种资料,针对硬件设计需要掌握的重点及难点,总结了此文档。通过写文档,目的是能够使自己的知识更具有系统性,温故而知新,同时也希望对读者有所帮助,大家一起学习和进步。
电容器是无源器件,在各种电容器中,铝电解电容器与其他电容器相比,相同尺寸时,CV值更大,价格更便宜。电容器的基本模型如图所示。

静电容量计算式如下:

其中,为介电常数,S为两极板正对表面积,d为两极板件距离(电介质厚度)。
从式中可以看出:静电容量与介电常数,极板表面积成正比、与两极板间距离成反比。作为铝电解电容器的电介质氧化膜(Al2O3)的介电常数通常为8~10,这个值一般不比其他类型的电容器大,但是,通过对铝箔进行蚀刻扩大表面积,并使用电化学的处理得到更薄更耐电压的氧化电介质层,使铝电解电容器可以取得比其他电容器更大的单位面积CV值。
铝电解电容器主要构成如下:
阳极-----铝箔
电介质---阳极铝箔表面形成的氧化膜(Al2O3)
阴极-----真正的阴极是电解液
其他的组成成分包括浸有电解液的电解纸,和电解液相连的阴极箔。综上所述,铝电解电容器是有极性的非对称构造的元件。两个电极都使用阳极铝箔的是两极性(无极性)电容。
铝电解电容器素子的构造如图所示,由阳极箔,电解纸,阴极箔和端子(内外部端子)卷绕在一起含浸电解液后装入铝壳,再用橡胶密封而成。

铝箔是铝电解电容器主要材料,将铝箔设置为阳极,在电解液中通电后,铝箔的表面会形成氧化膜(Al2O3),此氧化膜的功能为电介质。
形成氧化膜后的铝箔在电解液中是具有整流特性的金属,就像是一个二极管,被称之为阀金属。

①阳极铝箔
首先,为了扩大表面积,将铝箔材料置于氯化物水溶液中进行电化学蚀刻。然后,在硼酸铵溶液中施加高于额定电压的电压后,在铝箔表面形成电介质氧化层(Al2O3),这个电介质层是很薄很致密的氧化膜,大概1.1~1.5nm/V , 绝缘电阻大约为10^8~10^9Ω /m。氧化层的厚度和耐压成正比。
②阴极铝箔
同阳极箔一样,阴极铝箔同样有蚀刻的程序,但是没有氧化的程序。因此,阴极铝箔表面只有少量的自然氧化形成的(Al2O3),能承受的电压只有0.5V左右。
③电解液
电解液是由离子导电的液体,是真正意义上的阴极,起着连接阳极铝箔表面电介质层的作用。而阴极铝箔类似集电极一样起着连接真正阴极和内部电路的作用。电解液是决定电容器特性(温度特性,频率特性,使用寿命等)的关键材料。
④电解纸
电解纸主要起着均衡电解液的分布并保持阴极箔和阳极箔间隔的作用。
2.4、制作过程
①蚀刻(扩大表面积)
蚀刻的作用是扩大铝箔表面积。蚀刻是在氯化物溶液中施加交流或直流电流的电化学过程。
②化成(形成电介质层)
化成是在阳极铝箔表面形成电介质层(Al2O3)的过程。一般将化成过的铝箔作为阳极使用。
③裁剪
按照不同产品的尺寸要求将铝箔(阴极箔和阳极箔)和电解纸剪切为需要的尺寸。
④卷绕
将阴极箔和阳极箔之间插入电解纸,然后卷绕成圆柱形,在卷绕工艺上阴极箔和阳极箔上连接端子。
⑤含浸
含浸是将素子浸入电解液中的过程。电解液能对电介质层进一步修复。
⑥密封
密封是将素子装入铝壳中后用封口材料(橡胶,橡胶盖等)密封的过程。

⑦老化(再化成)
老化是对密封后的电容器在高温下施加电压的过程。这个过程能将裁剪和卷绕过程时电介质层的一些受损进行修复。
⑧全检,包装
老化之后,将对所有产品进行电气特性检查。并进行端子加工,编带等。最后进行包装。
3、基本特性
3.1、静电容量
电极表面积越大,容量(储存电荷的能力)越大。铝电解电容器的静电容量值是在20℃,120Hz /0.5V的交流电条件下测试的值。
①温度升高,容量也会升高;温度降低,容量也会降低。

②频率越高,容量越小;频率越低,容量越大。

3.2、损耗角

电解电容等效电路如上图(忽略了绝缘电阻),当频率为120Hz(一般电容器标称的损耗角就是在此频率下测得的)时,频率相对等效串联电感L非常低,因此可以忽略L,损耗角模型如下图:

可以得到损耗角公式:

损耗角与温度的关系如下图,温度越高,损耗角越小。

在低温的时候,可以看到损耗角变大很多,在20℃时是0.05,在-40℃时是0.09,根据公式说明ESR增大了接近1倍。
3.3、漏电流
漏电流是铝电解电容器特性之一,当施加直流电压时,电介质氧化层允许很小的电流通过,这一部分小电流称为漏电流。理想的电容器是不会产生漏电流的情况(和充电电流不一样,即使电压恒定,这个电流也是持续存在的)。
漏电流会随时间而变化,如图所示、随时间而减小后会达到一个稳定值。因此,漏电流的规格值为20℃下施加额定电压一段时间之后所测量的值。
当温度升高时,漏电流增加;温度降低,漏电流减少施加的电压降低,漏电流值也会减少。

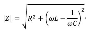
3.4、阻抗-频率曲线
根据模型,电容器的复阻抗为:

阻抗的模值:

画出阻抗-频率曲线如下图:

1/ωC是容抗,图中容抗的直线向下角成45°角。ωL是感抗、它的直线向右上角成45°角。R代表等效串联电阻。在低频率区间,有频率依存性的电介质损失影响大,因而R曲线向下。在高频区间,电解液和电解纸的阻值占主导地位,不再受频率的影响,因而R值趋于稳定。

厂家一般都有各种系列的电解电容,低ESR的,长寿命的,高温的。而普通品是性能最低的,是最便宜的,一般温度和寿命参数是85℃/105℃-1000h/2000h、本节这里说的也是这种铝电解电容。
4.1、ESR参数
首先,一般厂家是不会直接给出普通铝电解电容的ESR值,但是会给出损耗角参数,此时的损耗角是在120Hz时的(损耗角与频率有关系)。
下面是几个品牌的最普通的铝电解电容100uF-16V的参数,按照上述方法计算得120Hz的ESR值如下表。

可以看到,如果容值和额定电压值确定,各个厂家的ESR相差不大。
另外,也可以发现,封装(尺寸大小)不同,对ESR的影响不会太大,但是会影响纹波电流的大小,尺寸大,能更抗热,纹波电流自然也越大。
那么不同容量,不同电压的铝电解电容的ESR的大小是多少呢?
既然各家差不多,就以合粤的为例,如下表

从上述表格也可以得出如下结论:
①容量越大,ESR值越小。
②额定电压越大,ESR值越小。
需要说明的是这个ESR值是在120Hz情况下的,如果频率升高, ESR是会有所下降,看上一章节ESR与频率的曲线图,在100Khz大致下降到120hz的1/2-1/4(这个比例数据很粗糙)左右。
4.2、额定纹波电流
不同于MLCC陶瓷电容,铝电解电容需要注意额定纹波电流,它是有效值,不能超规格使用。铝电解电容的ESR相对比较大,因此,如果纹波电流比较大的话,内部发热严重,会导致电容器失效、因此每个制品都设定有额定的纹波电流。
额定纹波电流与封装大小和ESR值有关系
ESR越小,额定纹波电流越大。
封装越大,额定纹波电流越大。
因为电流纹波会造成自我温升,下表为各两种周围温度下的自我温升的△T界限值(一般情况,仅供参考)

虽然有一些系列降低周围温度可以施加超过额定的纹波电流,但自我温升△T升高的话,寿命就会变短。△T在各种周围温度下都有其规定界限值,请在使用中不要超过其界限值。
自我温升△T计算公式如下:
Io:在工作上限温度时的使使用频率系数修正后的额定纹波电流Arms。
Ix:实际使用时的纹波电流Arms。
△To:叠加额定纹波电流时的自我温升。
普通铝电解电容标称的额定纹波电流是在120Hz的值,那其它频率额定电流纹波值是怎么样的呢?一般厂家会在规格书给出一个纹波电流频率校正系数。
以合粤为例,如下表

举例:规格书中合粤100UF-16V的铝电解电容在120Hz的额定纹波电流是135mA,那么在10Khz条件下额定纹波电流是多少呢?
答:查表得矫正系数是1.2,所以在10KHz纹波电流Irms=135mA*1.2=162mA。
5、高品质铝电解电容
这里高品质铝电解电容是相对普通铝电解电容来说的,在一些特殊的场合,普通铝电解电容并不能满足我们的要求。实际上,铝电解电容厂家通常会提供多个系列的型号,高品质的主要分为3类:高耐温化、长寿命化、低阻抗化。
如下图为合粤的贴片铝电解电容列表。

高寿命的可以达到5000h,高温的可以达到125℃。
低阻的铝电解电容会是多低呢?几个品牌对比如下表。

如此看来,同规格各个厂家低ESR铝电解电容,ESR值相差不大,都为标准(120Hz)的七八分之一左右,但是如果同为100Khz频率下,差异就没这么大了,可能也就是下降一半。
6、异常电压
施加异常电压会引起电容器内部发热和产生气体而导致内部压力上升,压力上升会导致开阀或电容器损坏失效。
6.1、过大电压
施加高于额定电压的电压会引起阳极箔的化学反应(形成电介质)导致漏电流迅速增加,从而产生热量和气体,内部压力因此也会升高。
这种化学反应会随着电压,电流,环境温度的升高而加快。随着内部压力增加,电容器会开阀或损坏失效。也可能会导致电容器容量降低,损失角和漏电流增加,从而会导致电容器短路。
6.2、反相电压
施加反相电压会引起电容器阴极箔的化学反应,同施加过大电压一样会导致漏电流迅速增加,电容器内部会产生热量和气体而引起内压升高。
这种化学反应会随着电压,电流,环境温度的升高而加快。同时静电容量减少,损失角增大,漏电流增加。
施加大概1V的反相电压会导致容量减少;施加2V-3V的反相电压会导致容量减少,损失角增加/或者漏电流增加而缩短了电容器的寿命。如果施加更大的反相电压会导致开阀或电容器损坏。
7、再起电压
给铝电解电容器充电、让其端子间短路,再将短路线路打开放置一段时间过后,两端子间的电压会发生再次上升的现象。此时的电压叫再起电压。
给电介质施加电压后,电介质内部发生电气变化,电介质表面带有施加的电压和正负反向电荷。(极化作用)因为极化作用的速度,有快慢之分,施加电压后、把端子间的电压放至 0V、打开线路后放置,分极反应慢的电位在端子间产生再起电压。

再起电压的时间变化如图所示,两端子间打开后约10~20天后达到峰值,再渐渐降低。另外,大型品(螺丝端子型、基板自立型)的再起电力值有变大的倾向。
再起电压发生后,意外的让两端子间短路的话,打火会给生产线作业人员带来恐怖感、电路的 CPU、存储器等低电压驱动素子也有被破坏的危险。作为防止办法,请在使用前用 100~1K欧左右的电阻对所积蓄的电荷进行放电。

8、铝电解电容寿命
8.1、寿命的计算原理
铝电解电容器的寿命、一般受电解液通过封口向外蒸发的现象的影响、表现为静电容量的减少、损失角正切值的增大。
电解液的蒸发速度和温度的关系用阿雷尼厄斯定律表示:

k为:化学反应速度
A:频度因子
E:活性化能量
R:气体常数
T:温度
这个公式说明了化学反应速度(电解液损失的速度)与温度呈对数的关系。而温度由铝电解电容环境温度,纹波电流两者决定,因此,环境温度和纹波电流决定了铝电解电容的使用寿命。
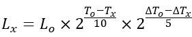
铝电解电容实际使用寿命公式如下(不同电容有些差别,仅供参考):

Lx为使用寿命。
Lo为保证寿命值(规格书中宣称的寿命)。
To为最高工作温度(规格书中温度上限)。
Tx为实际环境温度,铝电解电容实际环境温度。
很容易得出:电容工作温度每升高 10℃ ,电容寿命减小一倍