
图文速
这篇《自然》期刊的最新研究,揭示了金属材料在极端动态载荷下颠覆传统认知的力学行为。
本研究通过激光诱导微弹道冲击实验(应变率 > 10⁶ s⁻¹),首次在无强冲击效应干扰的条件下,定量发现了纯金属(铜、金、钛)在极端高应变率下呈现“反常热强化”现象:温度升高,强度反而显著增加。这与传统中低应变率下金属普遍表现出的“热软化”行为完全相反。研究证实,该现象源于变形控制机制的转变:在极端速率下,位错运动机制从热激活主导转变为声子拖曳主导的类弹道输运。温度升高增强了声子与位错的相互作用,从而导致强化。这一发现对理解高速加工、超高速撞击等极端条件下的材料行为具有根本性意义。

Fig. 1: 冲击轨迹与撞击坑
左图:展示了氧化铝弹丸撞击铜基底(20°C, 100°C, 177°C)的运动轨迹。颜色越暖(红),代表温度越高。可清晰看到,温度越高,回弹轨迹越高,表明回弹速度越快。小图显示了回弹后600 ns的弹丸状态。
右上/中图:对应上述三次撞击的撞击坑3D形貌(剖面图和俯视图)。温度越高,撞击坑的深度和直径越小,直观证明高温下材料更难发生塑性变形,即强度更高。

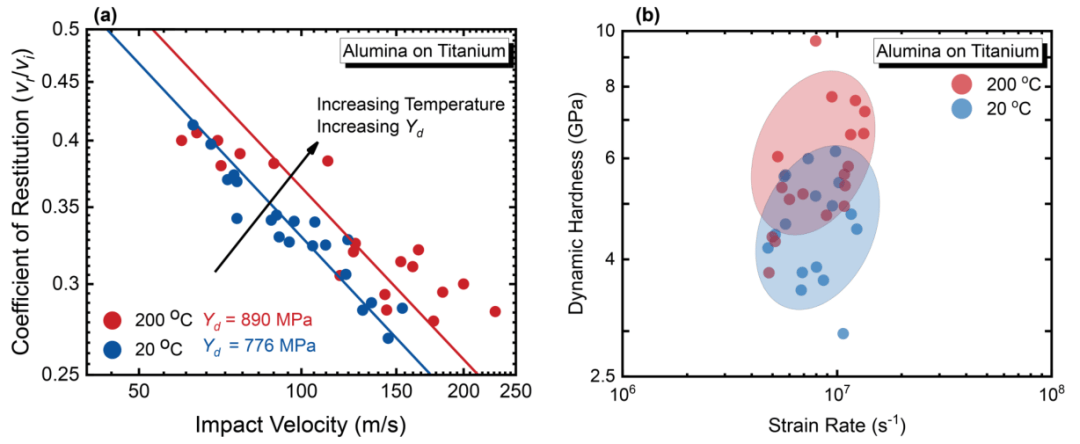
Fig. 2: 铜动态强度与硬度
a图:不同温度下,入射速度与回复系数的双对数曲线。实线为理论拟合。整体上,同一速度下,温度越高,回复系数越高。通过拟合得出的动态屈服强度 Yd 值在图中标出,明确随温度升高。
b图:不同温度下,动态硬度随应变率的变化。在 >10⁶ s⁻¹ 的区域,相同应变率下,温度更高的数据点(红、橙)明显位于低温数据点(蓝)之上,证实硬度随温度升高。

Fig. 3: 各强化机制的贡献
该图定量分解了铜在 10⁷ s⁻¹ 下的强度构成。位错拖曳强度项随温度升高显著增长,而热激活和非热项缓慢下降。三者的总和表现出了随温度上升的趋势,与实验数据点吻合。

Fig. 4: 塑性变形的表观激活能
主纵轴(硬度)展示了从低应变率(文献数据,开环)到高应变率(本研究数据,实心圆)的强度-温度依赖性转变。蓝色和红色虚线示意了从“热软化”到“热硬化”的交叉区间。
次纵轴展示了理论计算的表观激活能 Q_app。关键在于,在应变率约 10⁵ s⁻¹ 处,Q_app 从正值变为负值,这从能量角度标志了主导变形机制的翻转。


Extended Data Fig. 1 & 2: 金与钛的验证
这两张图以完全相同的分析方法,证明了金和钛也存在完全一致的反常热强化现象,说明此现象是纯金属在极端高应变率下的普适行为。