说明:本文华算科技主要介绍了电荷转移电阻(Rct)的概念、产生原因、影响因素、变化机制。Rct是衡量电极界面电荷传递难易程度的重要参数,其大小受界面电子态、反应物浓度、电解质性质、电极电位等多种因素影响。文中详细分析了Rct变大和变小的原因,强调了界面结构、温度、溶液环境等对电荷传递效率的关键作用。
什么是电荷转移电阻?
电荷转移电阻(Rct)是电化学动力学中描述电极界面电荷传递过程难易程度的重要参数,通常通过交流阻抗谱(EIS)中的高频区的直径进行表征。
阻抗分量反映了电极/电解质界面上氧化还原反应过程中电子从电极传递到反应物,或从产物传递回电极所需克服的能垒。其本质源于界面反应中电荷传递的活化过程,依赖于界面电子态密度、反应物与产物的电子耦合强度、界面能级匹配程度以及局部电场等诸多因素(图1)。

图1. 电化学阻抗 Nyquist 图与等效电路中电荷转移电阻的典型表示。DOI:10.1039/C4RA01677G。
在电化学反应动力学框架下,电荷转移过程可由Butler–Volmer方程进行描述,该方程将电流密度j与电极电位之间的关系联系起来,并在小电流极限下可线性化,进而推导出

其中η为过电位。因此,Rct的大小不仅受反应速率常数影响,还与电极电位、反应方向、电解质中离子浓度等参数相关联。
电荷转移电阻为什么产生?
电荷转移电阻的起源可归因于界面电荷从一种相向另一种相的定向传输行为。在该过程中,电荷需克服一定的自由能障碍才能从电极表面跃迁至电解质中,或从电解质中的氧化还原物返回电极。
该能量障碍的存在导致了非零的阻抗表现,其大小由界面电荷交换速率所主导(图2)。

图2. 电极–电解质界面上金属离子脱溶剂化与电子转移过程的能量示意图。DOI:10.1002/cssc.202101498。
从微观角度分析,电荷转移过程为量子隧穿加热激发共同作用的结果,依赖于以下几个方面:
(1)电子耦合矩阵元,即电极与反应物之间电子轨道重叠程度。
(2)界面密度态,即电极表面可供电荷跃迁的电子态或空穴态分布。
(3)反应自由能变,即反应前后体系的能量差。
(4)界面结构有序性及溶剂重构能。这些因素决定了界面电子传递的速率常数Kct,进而决定了电荷转移电阻的绝对值。

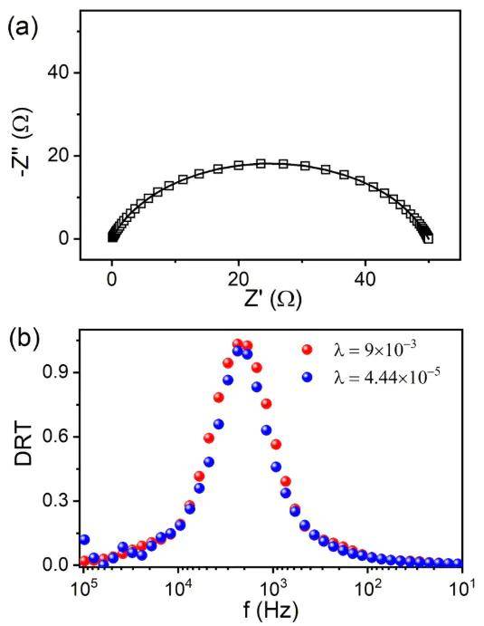
图3. 简单RC电路的 Nyquist 阻抗谱及其弛豫时间分布(DRT)表示。DOI:10.1038/s41598-021-91871-3。
此外,界面结构的不均匀性、吸附物种的存在、界面双电层的变化、电解质溶液中离子的电导率及扩散行为也会间接影响Rct。
电荷转移电阻变大的原因?
电荷转移电阻的升高通常意味着界面电荷交换过程受到限制,其根本原因在于界面电荷传递速率降低。
首先,界面电荷交换的速率常数Kct若减小,直接导致电流响应减弱,表现为交流阻抗图中高频半圆直径增大。该速率常数受温度降低、界面能级错配、电子耦合衰减等影响而降低。
电极材料表面电子态密度减少会导致界面电子供给能力下降,尤其是在金属-半导体界面中,当费米能级与导带(或价带)之间能隙增大时,界面电子或空穴的有效态密度降低,导致转移速率受限。
此外,电极表面发生钝化或覆盖非导电层(如氧化物、聚合膜等)亦会降低电荷的有效传输面积和电荷隧穿概率,从而增大电荷转移电阻(图4)。

图4. 不同表面结构状态下酸性析氧催化剂的 Nyquist 阻抗谱示例。DOI:10.1038/s41467-018-08144-3。
溶液相因素同样重要。反应物浓度降低或局部缺乏活性种会导致电极表面反应物供给不足,使界面反应速率受限,从而表现为Rct的升高。
电解质离子强度的降低或电解质中掺杂物质的存在可能干扰界面电势分布和电荷中介机制,进一步阻碍电荷转移过程。此外,双电层结构的紧密化也可能导致电荷穿越双电层的能垒升高(图5)。

图5. 电解质浓度及聚合物涂层变化对Rct的直接影响。DOI: 10.1080/00084433.2025.2591405。
此外,外加电位偏离标准电极电位过远时,由于反应动力学处于极化区,过电位增大引发反应非对称性增强,可能导致氧化或还原过程严重受限,进而增大电荷转移电阻。这种情况在非对称能垒情况下尤为显著(图6)。

图6. 锂电池在不同电极电位条件下的电化学阻抗谱与弛豫时间分布。DOI:10.1038/s41598-021-91871-3。
电荷转移电阻变小的原因?
电荷转移电阻的降低表示界面电荷传递行为更加高效。这主要归因于界面电荷交换速率的增强,表现为电极界面电子供给能力增强或反应物可达性提升。
首先,电极材料表面电子态密度的提升,尤其是在导电高的材料表面,会提升单位面积电子可用性,增强电子转移能力,从而降低Kct。
其次,界面电荷耦合强度增强将显著提高电子跃迁概率。在此情形下,电极与反应物分子轨道之间的有效重叠加剧,或界面结构优化形成低势垒通道,都可提升电荷传递效率。
例如,在界面发生重排、形成导电路径或构建具有电催化活性位点时,电子通过路径变得更加畅通,反映为电荷转移电阻减小(图7)。

图7. 磁场诱导排列的NiFe纳米线显著降低电荷转移电阻。DOI: 10.1016/j.mseb.2025.118750。
此外,温度升高亦可提升体系中电子激发概率与界面迁移率,从而增加反应速率常数Kct,间接导致Rct降低。在一定温度区间内,电子和离子的热激发提高了其跃迁概率,降低了界面传输障碍。
溶液环境的调节同样显著影响电荷转移电阻。较高浓度的反应物或增强的电解质离子强度会增加界面处反应物供给速率和电场强度,从而增强电荷迁移速率。此外,在界面引入能级匹配的中介体或电子导体,也可以形成中继电荷通道,显著降低整体界面电荷转移阻抗(图8)。

图8. 合金纳米结构中界面电子转移的示意图。DO: 10.3390/catal15080777。
电极电位对Rct的调控也十分关键。通过调节外加电压,使得电极电位更接近反应的平衡电位或处于动力学最优区间,可以使反应朝最有效路径进行,激发电荷迁移最大可能性,从而减小电荷转移电阻(图9)。

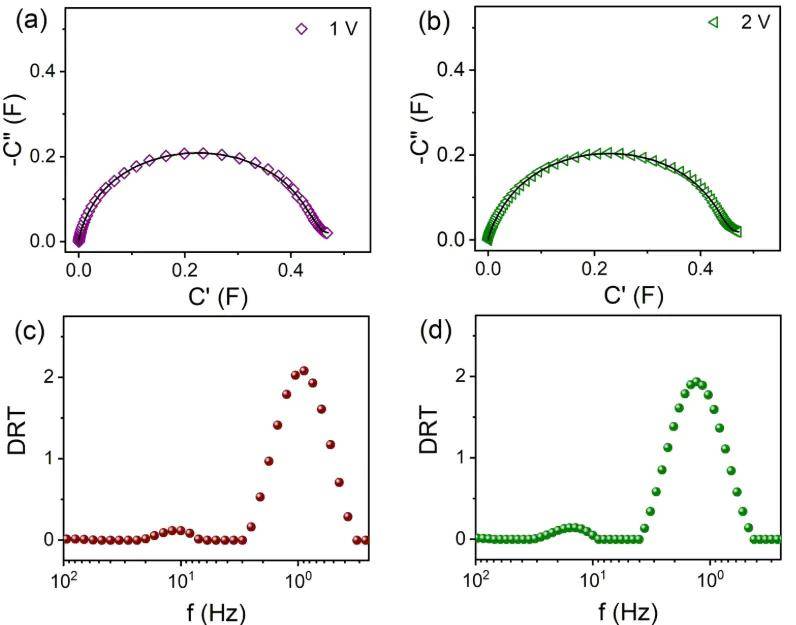
图9. 实测超级电容器电极的 Nyquist 阻抗谱及其弛豫时间分布分解。DOI:10.1038/s41598-021-91871-3。
上一篇:中芯国际申请半导体结构及其形成方法专利,降低沟道凸起部顶部受到损伤的概率
下一篇:没有了